參展聯系:021-3114 8748
參觀聯系:138 1785 1721
媒體聯系:138 1785 1721
QQ:3326911596
郵箱:busexpo@sgexpo.cn
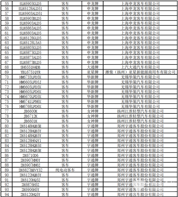
2020年6月29日,中國客車網從交通運輸部官方網站獲悉,交通部公示了道路運輸車輛達標車型表(第22批),本批達標車型共包括客車125款,其中包括113款傳統客車和12款純電動客車。

本次入選的125款客車產品分別來自宇通客車、比亞迪、金龍客車、金旅客車、蘇州金龍、安凱客車、中通客車、中車電動等19家車企。
從企業上榜車型數量來看,宇通客車上榜35款,占本批公示車型的28%,排名第一;金龍客車上榜20款,排名第二;安凱客車上榜19款,排名第三。
值得一提的是,本批達標的客車車型中共包含12款純電動客車,其中,宇通客車有5款;比亞迪、金龍客車、金旅客車、安凱客車、中通客車、銀隆新能源和豪沃客車各有1款。
附:道路運輸車輛達標車型表(第22批公示)(客車部分):




